Distributiver Verband
Ein distributiver Verband ist eine spezielle Struktur der Mathematik.
Gegenüber allgemeinen Verbänden, in denen für die beiden (zweistelligen) Operationen
und
nur die Assoziativgesetze, die Kommutativgesetze und die Absorptionsgesetze gefordert werden, gelten in einem distributiven Verband noch zusätzlich Distributivgesetze
für beide Richtungen.
Die Gültigkeit der Distributivgesetze macht Verbände interessanter. Sie lassen sich einfacher untersuchen, da auftretende Terme sich leichter umformen lassen und es in gewissem Sinne einfache Darstellungen gibt. Dabei treten distributive Verbände sehr häufig auf, auch in Bereichen außerhalb der Mathematik. Boolesche Algebren sind spezielle distributive Verbände.
Präzisierung
Im Folgenden meinen wir mit dem Verband V stets den Verband
.
Ein Verband heißt distributiver Verband, wenn für alle
gilt:
.
Man kann jede der beiden Aussagen aus der anderen mit Hilfe der Verbandsaxiome ableiten.[1] Daher genügt es, die Gültigkeit eines dieser beiden Distributivgesetze zu fordern.
Jeder distributive Verband ist modular, aber nicht umgekehrt.
Ein modularer Verband, der nicht distributiv ist, enthält immer den Verband
, den Verband der Untergruppen der
Kleinschen Vierergruppe, als Unterverband.[2] Dies ergibt das Kriterium:
- Hat ein Verband weder einen Unterverband der Form
noch einen der Form
, dann ist er distributiv.
Beispiele
Distributive Verbände kann man in vielen Gebieten innerhalb und außerhalb der Mathematik finden. Distributive Verbände sind:
- jede total geordnete Menge
- für jede natürliche Zahl
die Menge
ihrer Teiler mit der Teilbarkeit als Ordnungsrelation (also ggT und kgV als Verknüpfungen)
(mit oder ohne 0) mit der Teilbarkeit als Ordnungsrelation (also ggT und kgV als Verknüpfungen)
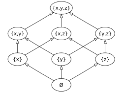
- jeder Mengenverband mit
und
- jede Heyting-Algebra, daher auch
- jede Boolesche Algebra
- die offenen Mengen eines topologischen Raumes mit
als Ordnung


Kürzungsregel
In einem distributiven Verband gilt die Kürzungsregel: Gelten für
die beiden Gleichungen
- aus
und
folgt
.[3]
Das Beispiel zeigt, dass diese Regel in beliebigen
Verbänden nicht gilt. Sie ist in dem folgenden Sinn typisch für distributive Verbände:
- Ist die Kürzungsregel für beliebige Wahl von
in einem Verband V gültig, dann ist
distributiv.[4]
Komplemente in distributiven Verbänden
Für ein gegebenes Element a eines beschränkten Verbandes nennt man ein Element b mit der Eigenschaft
und
ein Komplement von a.
Während es im Allgemeinen zu einem Element mehrere komplementäre Elemente geben kann, gilt:
- wenn in einem distributiven Verband ein Komplement von a existiert, dann ist es eindeutig bestimmt.[5]
Man bezeichnet ein eindeutig bestimmtes Komplement von
mit
oder
(vor allem bei Anwendungen in der Logik) oder
.
Ein distributiver Verband, in dem jedes Element
ein (eindeutig bestimmtes) Komplement
hat, heißt Boolesche Algebra.
Auch in einem nicht-distributiven Verband kann jedes Element genau ein Komplement haben. Damit man die Distributivität folgern kann, muss man mehr fordern:
- Ein Verband
ist distributiv, wenn jedes Element in jedem Intervall höchstens ein relatives Komplement besitzt.
Ist V ein distributiver Verband und haben
Komplemente, dann haben auch
und
Komplemente und es gilt
und
Dies ist eine andere Formulierung der de Morganschen Regeln.
Repräsentationssatz für distributive Verbände
Distributive Verbände sind auch anders zu charakterisieren, denn Birkhoff (1933) und Stone (1936) haben gezeigt:
- Ein Verband ist genau dann distributiv, wenn er isomorph zu einem Mengen-Ring ist.[6]
Hieraus folgt natürlich, dass sich jeder distributive Verband in eine Boolesche Algebra einbetten lässt.
Weitere Eigenschaften
Jeder Unterverband eines distributiven Verbandes ist distributiv, dagegen sind Teilverbände nicht immer distributiv.
Das homomorphe Bild eines distributiven Verbandes ist distributiv.
Das direkte Produkt beliebig vieler distributiver Verbände ist distributiv.
Vollständige Distributivität
Ein Verband heißt -volldistributiv, wenn für jede Wahl von
und jede Teilmenge
gilt
.
-Volldistributivität wird dual definiert.
Der Begriff Volldistributivität ohne Zusatz wird unterschiedlich verwendet:
- Es kann bedeuten, dass eine von diesen beiden Bedingungen erfüllt ist und im anderen Fall spricht man von dual-volldistributiv oder verwendet explizit die obige Bezeichnung.[7]
- Es kann bedeuten, dass beide Bedingungen erfüllt sind.
- Es kann bedeuten, dass das folgende unendliche Distributivgesetz und die dazu duale Form gilt
- Für alle
gilt:
[8]
- Für alle
Für alle drei Begriffe gilt:
Jeder volldistributive Verband ist distributiv und jeder endliche distributive Verband ist volldistributiv.[9]
Ein vollständiger distributiver Verband braucht nicht volldistributiv sein, wie das Beispiel zeigt.[10]
Einzelnachweise und Anmerkungen
- ↑ Der Beweis ist eine Gleichungsumformung. Wir nehmen an, dass D2 gilt, und wollen D1 zeigen:
; Anwendung des zweiten Axioms:
; nach Absoptionsgesetz:
; Anwendung des zweiten Axioms in Klammer:
; nach Assoziativgesetz:
; die linke Seite entspricht nach dem Absorptionsgesetz
:
.
Die Gegenrichtung folgt dual. - ↑ Der Beweis (mit mehreren Zwischenschritten) findet sich z. B. in: H. Gericke, Theorie der Verbände, Mannheim, ²1967, S. 111
- ↑ Auch dies wird mit einer einfachen Folge von Gleichungen bewiesen, in der das Absorptionsgesetz, das Distributivgesetz und die Voraussetzungen verwendet werden:
; nach H. Gericke, Theorie der Verbände, ²1967, S. 114
- ↑ Die Beweisidee ist, dass in
und
jeweils die Kürzungsregel nicht gilt. Vgl. H. Gericke, Theorie der Verbände, ²1967, S. 113f
- ↑ Dies folgt unmittelbar aus der Kürzungsregel
- ↑ G.Grätzer, Lattice Theory, 1971, S. 75
- ↑ So z. B. H. Gericke, Theorie der Verbände, ²1967, S. 114
- ↑ Diese Form wurde aus G. Grätzer, Lattice Theory, p 118, Exercise 7 übernommen.
- ↑ H. Gericke, Theorie der Verbände, Mannheim, ²1967, S. 114 f.
- ↑ Der Verband ohne die 1 ist als Produkt von
distributiv. Dass der ganze Verband vollständig und distributiv ist, sieht man leicht. Das Beispiel findet sich (mit etwas anderem Hasse-Diagramm) in H. Gericke, Theorie der Verbände, Mannheim, ²1967, S. 115
Literatur
- Garrett Birkhoff: Lattice Theory. 3. Auflage. AMS, Providence, RI 1973, ISBN 0-8218-1025-1.
- Marcel Erné: Einführung in die Ordnungstheorie. Bibliographisches Institut, Mannheim 1982, ISBN 3-411-01638-8.
- George Grätzer: General Lattice Theory. 2. Auflage. Birkhäuser, 1998, ISBN 978-0-8176-5239-5.
- Hans Hermes: Einführung in die Verbandstheorie. 2. Auflage. Springer, Berlin/Heidelberg 1967.


© biancahoegel.de
Datum der letzten Änderung: Jena, den: 07.02. 2026


